全球國際學校教育競爭力評比體系說明
●
編者的話●
中學/小學/幼稚園/香港/中國/全球國際學校最具教育競爭力評選指標體系及評比數據資料的處理方式●
學校教育競爭力評價的現實指標體系
●
中學/小學/幼稚園/香港/中國/全球國際學校教育競爭力評比的計算方法(校風、學業成績和課外活動表現如何計算?)
●
評比指標資料的收集與處理
●
評比數據資料的處理方式
● 編者的話
《年度全港中學/小學/幼稚園/國際學校教育競爭力評比》致力於建立一個基於瞭解香港各中學/小學/幼稚園以及香港/中國/全球國際學校教育現狀的校風聲譽、教育竞争力研究數據採集、分析、應用和發佈的平台,並為家長選校時提供重要的依據,同時也為各校教學發展的持續、追蹤研究提供數據分析依據,通過每年度的教育競爭力評比,學校可看到自己在業內的位置,看到學校的影響力,看到同行其他學校的變化,可以更好地同表現優異的學校互相借鑒和學習,相互提升未來競爭力。爲了這項評比能夠堅持公正、公開、公平的原則,我們特設了間接量化學校教育競爭力的教師問卷調查和全港校風問卷調查(有關問卷內容可登錄香港專業教育出版社網站
www.hkpep.com下載查看),意在彌補學校教育競爭力中難以用學校投入或統計數據直接量化的缺憾。為使此項年度評比更具公信力、透明度和權威性,我們因此公佈此項評比的排名計算方法和相關數據的處理方式,詳情請看本書第三章。
編制本港中學/小學/幼稚園/國際學校教育競爭力排名指南系列書籍的目的在於提供有系統的資料,以顯示本港各學校教育成效,編篆方法如下:
1.從各個途徑搜集資料,編篆一套全面的本港學校競爭力評比的教育指標,範圍包括幼稚園至中學。
2.選用聯合國教育、科學及文化組織出版的統計年鑒有關國際通用的教育指標。
3.參考香港教育局二零零一年報告有關香港學校教育成效的教育指標,具體包括:教師質素,師生比率,教學質
素,學校資源及設施,學業成績,課外活動表現,學生支援措施,教師工作滿足感,過去三年教師平均流失率,教學語言,教學模式,學校歷史,過去五屆平均高考獲E級或以上百分率和人均優良率,過去五屆平均會考6科14分百分率、中英文合格率、人均優良率,過去五屆和應屆DSE文憑試成績(JUPAS入大學率、每年考入三大(港大/中大/科大)的學生人數及百分比、5**、5*、5級或以上優異率、4級或以上優良率及人均優良成績、33222大學入學標準百分率、3級和2級或以上合格率),小學升中學派位結果(升讀band 1、band 2 & band 3中學人數及比率),幼稚園升小學派位結果(升讀band 1、band 2 & band 3小學人數及比率),應屆IB課程成績(分別獲得IB45分/40分/35分以上的學生人數及百分比),每年考入世界排名前10/20/30/50/100大學的學生人數及百分比,中一入學前香港學科測驗成績,全港性系統評估成績(中三),學生參加學界校際及埠際體育比賽表現,學生參加學校音樂、戲劇、朗誦及舞蹈節表現,學生參加社會及志願服務表現,學習氣氛,學生品德行為,教學作風,教師師德,學校管理作風,學校榮譽等共63項2級和3級教育指標。
教育競爭力評比體系教育指標選取和概念說明
教育指標必須根據一些既定的準則去選取,教育競爭力排名指南採用的準則,有以下四項:
1. 指標應能提供充分的資料,及易為各層面的使用者理解,複合或複雜的指標應儘量避免採用。
2. 指標應能評估那些隨著時間而轉變的情況,以便進行有意義的比較,幫助決策者對日後的成效作出合理的預測。
3. 指標應能衡量學校教育成效中的持久特點,這有助聚焦未來的方向和需要。
4. 指標應能直接衡量或評估學校教育的成效,這些資料有助描述學校教育成效的目前運作情況和效能。
教育指標並不能把學校教育成效巨細無遺地顯示出來,它們只能就目前情況提供一些「簡括」的資料。由於每個指標只能提供一些單向的資料,因此有需要制訂一套指標,以便全面反映某一學校教育成效的情況。為了把整體情況顯示出來,有關的指標須合乎邏輯地連接在一起,而連接的方法應建立基於一個能說明學校教育成效運作情況的模式和架構。
表1 中學/小學/幼稚園/國際學校教育競爭力評比體系
教育競爭力綜合得分 |
一級教育指標 |
二級教育指標 |
權重 |
教育投入
30%權重 |
學校資源設施 |
10% |
| 教師質素 |
10% |
| 師生比率 |
10% |
教育過程
20%權重 |
教學質素 |
15% |
| 學生支援措施 |
5% |
教育成效
50%權重 |
學業成績 |
30% |
| 課外活動表現 |
10% |
| 校風 |
10% |
| 合計 |
100% |
|
|
表2 中學/小學/幼稚園/國際學校校風評比體系
校風得分 |
二級教育指標 |
三級教育指標 |
權重 |
學生風氣
52%權重 |
學習氣氛 |
26% |
| 學生品德行為 |
26% |
教師風氣
22%權重 |
教學作風 |
11% |
| 教師師德 |
11% |
學校治學風氣
26%權重 |
學校管理作風 |
11% |
| 學校榮譽 |
15% |
| 合計 |
100% |
|
|
表3 全球國際學校教育競爭力評比體系
教育競爭力綜合得分 |
一級教育指標 |
二級教育指標 |
權重 |
教育投入
30%權重 |
學校資源設施 |
10% |
| 教師質素 |
5% |
| 師生比率 |
5% |
| 學校國際化程度 |
10% |
教育過程
20%權重 |
教學質素 |
15% |
| 學生支援措施 |
5% |
教育成效
50%權重 |
學業成績 |
30% |
| 課外活動表現 |
10% |
| 校風 |
10% |
| 合計 |
100% |
|
|
| (有關2024/25中學/小學/幼稚園/國際學校教育競爭力評選指標體系及評比資料的處理方式和如何計算排名請參閱該書第三章詳細說明) |
至於制訂教育指標的概念模式或方法,有關的文獻數量不少。舉例說,Averch等(一九七一年)提出五個用來研究
教育指標的方法:輸入輸出法、過程法、組織法、評估法及實驗法,Ba k er(一九七八年)提出教育指標的消費與生產
模式,Yamamoto(一九八七年)倡議歸納法,Meuret(一九八七年)主張採用複合指標,等等。
在這項香港各中學/小學/幼稚園/國際學校教育競爭力評比中,我們採用了“教育投入—教育過程—教育成效”的架構,原因是它包括了本港教育學校運作的三個主要部分。此外,它亦符合上述四個準則的要求。我們因此把上述63項教育指標整合歸納為三層指標架構,三級教育指標不在這裡細述,如上圖乃此評比體系的一級教育指標和二級教育指標的描述。
學校教育競爭力評價在使內在的因素顯現化和指標化的過程中,不可避免地會損失部分資訊,一些內在的因素可能是難以顯現化和指標化的,而且,學校未來的生存和發展不僅受必然性的決定而且也受偶然性的影響,學校教育競爭力可能不是決定學校命運的唯一因素。因此,對學校教育競爭力的評價必然含有一定程度的不精確性和偶然性。我們的工作目標只能是盡可能地接近客觀真實,揭示其內在的屬性,但不可能十分精確地斷定學校教育競爭力的量值,更不可能以精確的量值來斷定具體學校的命運,就像對人體健康程度的評價不能精確地斷定具體個人的壽命一樣。但是,也正如對人體健康水凖的評價可以非常接近地反映人體的健康狀況和預期壽命一樣,對學校教育競爭力的評價也可以非常接近地反映學校教育競爭力的客觀狀況和預測學校未來的命運。
中學/小學/幼稚園/國際學校教育競爭力評比的意義及運用價值
用數字說話,即用數字來反映香港各學校教育競爭力狀況。這是人們對競爭力分析和評價的一個普遍的期望,因為人們相信:數字勝於強辯,沒有數字就沒有說服力。
然而,數字是寶貴的,但數字也絕非萬能:數字是一種抽象,任何抽象都以一定程度的信息損失為代價;數字處理
必須以一定的假設條件為前提,而任何假設條件都以一定程度上的“忽視客觀具體”為代價;用數字進行判斷必須以一定的因果關係邏輯為基礎,而對因果關係邏輯的認識和判斷總是在一定程度上受主觀性的影響;在影響競爭力的各種因素中,有些是可以直接量化的,有的則難以直接量化,而只能採取某種間接量化方式(例如問卷調查),將其納入統計指標體系之中,這其中不可能不在一定程度上受主觀因素的影響。也就是說,任何有關競爭力的顯示性指標都不可能百
分之百地反映客觀。但是,只要遵循科學的原則,運用科學的方法,數字和數字分析卻可以無止境地“逼近”客觀,以數字所反映的各學校教育競爭力有可能成為各中學/小學/幼稚園/國際學校教育競爭力真實狀況十分逼真的影像。
數字的價值並非在於其本身,而在於對它的運用。我們要承認數字,尊重數字,但不盲目崇拜數字,在數字面前
喪失自己的判斷力。在我們所設計的監測指標體系中,其數據必須是可量化和可追溯。然而即使是最終的綜合得分,
也不是各學校教育綜合力排名的“風雲榜”,更不是對各學校教育競爭力大小強弱的判決,而只是競爭力監測的一個
“體檢表”。每一所學校都可以當其為一面鏡子,不妨看一看自己,也可以比一比別人。但不必依此而自傲或者因此
而自悲,也不必據此而張揚或者為此而抱怨。如果所有的學校特別是優秀學校,都能以豁達之心聽之,以借鑒之心視
之,以求真之心析之,以自審之心用之,那麼,我們這項中學/小學/幼稚園/國際學校教育競爭力監測工作就能實現其
最大的價值,開發出一個可持續有價值的各學校教育競爭力數字資源的共享寶庫,成為廣大家長們選校和教育工作者
的參考指南。
● 中學/小學/幼稚園/香港/中國/全球國際學校最具教育競爭力評選指標體系及評比數據資料的處理方式
學校教育競爭力測評或監測的基本邏輯是:首先要盡可能用具有綜合性的測評指標,特別是具有顯示性的指標,把學校在競爭中的優勢教育即競爭力的結果表現出來,這是學校教育競爭力強弱的最終顯示性表現。就跟比賽打球一樣,得分多少是運動員或者球隊競爭力的顯示性表現。你打贏了,得了更多的分,就是你競爭力的顯示性指標,可以直接說明你有較強的競爭力。
測評或監測指標分為兩類:一類是可以直接計量的指標;另一類是難以直接計量的因素,比如說學習風氣、學校的教學理念、管理水準、學校知名度等等。其中,不能直接量化的因素,我們就希望用一些間接計量的指標來反映。這種間接計量的方法,一般通過對香港各學校多種形式的問卷調查來實現。也就是說,我們承認教育競爭力因素中有一部分能夠直接量化,也有一部分不能直接量化,而只能間接地量化。從學校教育競爭力測評的目的來看,測評指標要有綜合性,指標數不要太多。也就是說,我們希望用數量不很多的測評指標就可以基本上把學校教育競爭力的結果反映出來,就像比賽打球一樣,誰得分多誰就贏了,盡可能簡單明瞭。
當然,得分多少只能說明當前的輸贏,從而在相當程度上反映教育競爭力的強弱,卻未必能百分之百地表明競爭力的實際狀況,這也像足球比賽,也許巴西隊是公認最強的球隊(競爭力最強),但不見得每次都得冠軍。一個最有實力的運動員,也未必在每次比賽中都是優勝者。所以,還需要有另一類指標,即分析性指標來更詳細具體地反映學校的實際教育競爭力狀況。這些指標可以解釋學校為什麼有教育競爭力或者為什麼缺乏教育競爭力。
換句話說,測評指標特別是其中的顯示性測評指標所反映的是教育競爭的結果或者教育競爭力的最終表現,而分析性指標所反映的是教育競爭力的原因或者決定因素。因此,與測評指標不同,分析性指標是一個為數較多的多角度、多層次的指標體系,見表4。
表4 教育競爭力指標體系的基本框架(指標類型、指標構成)
| 指標類型 |
指標構成 |
作用 |
主要數據來源 |
| 測評指標 |
直接計量指標、顯示指標、
潛力性指標 |
反映競爭力的結果 |
學校年報、教育局視學報告及
校外評核報告 |
| 間接計量指標 |
反映不可量化的因素 |
大樣本各學校家長、老師和學生各層面的問卷調查的統計分析 |
| 分析指標 |
多種類、多層次的指標 |
反映競爭力的原因,
即決定競爭力因素 |
統計資料及對比分析 |
|
|
學校教育競爭力的基本特點是具有內在性(即使是外部關係或環境對學校教育競爭力的影響,也是通過學校內在因素而發生作用的)和綜合性,對學校教育競爭力進行評價,就是要使其內在性盡可能顯現出來,成為可感知的屬性,同時,要對其綜合性的屬性進行分析和分解,並且盡可能地指標化,使之成為可計量的統計數值。
學校教育競爭力評價在使內在的因素顯現化和指標化的過程中,不可避免地會損失部分資訊,一些內在的因素可能是難以顯現化和指標化的,而且,學校未來的生存和發展不僅受必然性的決定而且也受偶然性的影響,學校教育競爭力可能不是決定學校命運的唯一因素。因此,對學校教育競爭力的評價必然含有一定程度的不精確性和偶然性。我們的工作目標只能是盡可能地接近客觀真實,揭示其內在的屬性,但不可能十分精確地斷定學校教育競爭力的量值,更不可能以精確的量值來斷定具體學校的命運,就像對人體健康程度的評價不能精確地斷定具體個人的壽命一樣。但是,也正如對人體健康水準的評價可以非常接近地反映人體的健康狀況和預期壽命一樣,對學校教育競爭力的評價也可以非常接近地反映學校教育競爭力的客觀狀況和預測學校未來的命運。
● 學校教育競爭力評價的現實指標體系
一般地講,作為指標體系應該儘量做到體系完整,但考慮到具體評價指標的重要程度、獲取指標具體支援資料的難易情況等因素,不必追求將所有指標的資料全部計算出來再進行評價,可以根據實際情況,對指標數量適當地進行整合、歸納,以方便理解、操作為基礎,但是前提必須是整合、歸納後的指標體系也同樣能夠比較準確地反映出學校教育競爭力的全貌。因此我們根據下述63項分析性指標整合為直接計量資料和間接計量資料,然後根據直接計量資料歸納為教育投入、教育過程和教育成效因素,整合後教育投入子因素包括學校資源設施、教師質素、師生比例;教育過程子因素包括教學質素、學生支援措施;教育成效子因素包括學業成績、課外活動表現,間接計量資料歸納為校風,見上表1,表2和表5。
表5 全球國際學校教育競爭力評比體系
| 教育競爭力綜合得分 |
一級教育指標 |
二級教育指標 |
權重 |
教育投入
30%權重 |
學校資源設施 |
10% |
| 教師質素 |
5% |
| 師生比率 |
5% |
| 學校國際化程度 |
10% |
教育過程
20%權重 |
教學質素 |
15% |
| 學生支援措施 |
5% |
教育成效
50%權重 |
學業成績 |
30% |
| 課外活動表現 |
10% |
| 校風 |
10% |
| 合計 |
100% |
|
|
此外,我們對學校教育競爭力基礎資料的子因素劃分為教育投入子因素、教育過程子因素、教育成效子因素三個指標。教育投入子因素從絕對量上描述學校的教育競爭力,一般來說,學校的投入越大,教育投入子因素所反映的學校教育競爭力會越強。學校規模子因素包括學校資源設施、教師質素、師生比率及學校國際化程度四個指標。教育過程子因素從相對量上描述學校的教育競爭力,學校的規模增大,教育過程子因素反映的學校教育競爭力不一定增強。教育過程指標包括教學質素和學生支援措施兩個指標。教育投入子因素與教育過程子因素均描述了學校的靜態競爭力,而教育成效子因素反映學校動態潛力,描述學校的動態競爭力。教育成效子因素包括近學業成績、課外活動表現、校風三個指標。
教育投入子因素、教育過程子因素、教育成效子因素分別從不同的角度測量學校的教育競爭力狀況。我們希望對於全部學校而言,三類子因素之間沒有相關性,至少要相關性不大,從而能更全面地反映學校教育競爭力的全貌。對於某一個學校而言,可能三類子因素所反映的學校教育競爭力有很大的不同,有些學校的教育投入競爭力很強,但教育過程競爭力與教育成效卻很弱;有些學校可能相反,教育過程很強,但教育投入卻很弱。我們發現,長期處於壟斷學生資源的部份學校投入競爭力較強,但教育成效競爭力卻並不很強。而有些學校完全是在教改中成長起來的,因而雖然教育投入競爭力不強,但教育過程競爭力卻很強。有些處於成長期的學校,可能目前的教育投入競爭力與教育過程競爭力均不強,但該學校的教育成效競爭力表現出了快速成長的趨勢。當然,我們也發現,在教改洗禮中,有些學校經過較長時間的發展,既表現出了較強的靜態競爭力,也表現出了較強的動態競爭力。各組別的傳統名校在此項評比中展現的較強競爭力可見一斑。
● 中學/小學/幼稚園/香港/中國/全球國際學校教育競爭力評比的計算方法
(校風、學業成績和課外活動表現如何計算?)
對學校教育競爭力進行數量化的評測,方便可行的是使用直接量化的顯示性指標,如學業成績、
課外活動表現、所獲的榮譽獎狀等。這些指標能把學校的教育競爭力結果表現出來,是學校教育競爭
力強弱的最終體現。但是,影響一個學校教育競爭力強弱的因素中還有另外一類指標,就是難以直接
量化的指標,如學校的校風。我們把這些難以直接量化的指標通過間接的方式加以量化,即通過學校
對內或對外提供的潛力性指標和通過設計不同問卷。針對老師、家長、學生不同群體的問卷調查進行
統計分析,加入“間接計量軟指標”。間接計量軟指標校風分為三大類子指標,即學習風氣、教師風
氣、學校治學風氣。其各自子指標內容見表3。這些指標不僅可以反映學校教育競爭力監測的深度和廣
度,避免單純使用資料或者憑主觀評價可能導致的片面性。同時對測量那些影響學校教育競爭力強弱
的分析性指標有著重要的意義。
我們把教育競爭力體系中的校風軟指標分為學生風氣、教師風氣、學校治學風氣三大子因素,並把
此三大子因素再分為學習氣氛、學生品德行為、教學作風、教師師德、學校管理作風和學校榮譽6項三
級教育指標,見上表3,以利其測評由各項間接計量軟指標所組成的不同問卷調查的調查資料的真實性
和可靠性。也就是設計一份問卷調查,其內容主要涉及三個範圍,即調查者對參與評比學校的學生風
氣、教師風氣、學校治學風氣。其調查結果主要是作為相互引證的監測資料。
具體做法:問卷調查主要涉及三個範圍,我們因此設計全港各組別(中學/小學/幼稚園/國際學校)家長、老
師、學生不同群體的全港中學、小學、幼稚園校風和教育競爭力有獎問卷調查,相關調查問卷內容可
登錄香港專業教育出版社官方網站www.hkpep.com下載查看。
通過調查問卷,我們得到了參與評比學校校風的原始資料,即學生風氣、教師風氣、學校治學風氣
這三個數值。我們採用公式(1)加以計算,得出每個學校的校風指數(I):
(1)

Ai: 學生風氣
Bi: 教師風氣
Ci: 學校治學風氣
N: 樣本數
取得每個學校校風指數的初步結果後,按與教育競爭力基礎資料處理相同的方法對這些結果進行標
準化處理,得到校風指數的標準值。
由於是分地區計算出各指標的標準值,因而因素、子因素、教育競爭力或校風指數的標準值等均帶
有各地區信息的標準值,即都是經過地區平均值調整後的數值,反映出學校相對競爭優勢的強弱。因
此,將所有學校的教育競爭力或校風指數標準值直接進行排序具有科學的比較意義。特別需要強調的
是,對指標原始資料進行標準化處理是在各地區/校網內部進行的,而標準化後的數值是在不同地區/校
網之間進行比較,所以,教育競爭力指數比較反映的是各學校在全港中的相對教育競爭力位勢。基於這
樣的理解,我們不僅可以直接依據各學校教育競爭力標準值對學校教育競爭力進行全港比較,同樣也可
以根據各因素及子指標的標準值獨立對全港學校進行比較,並進而計算出香港最具教育競爭力學校的綜
合得分排名。學校校風排行就是基於此基礎演變出獨立的榜單來滿足家長們對學校校風的關注。
表6:中學/小學組別校風得分標準計算表
| 校風指數得分 |
校風等級 |
校風等級得分 |
| 7.5分以上 |
A++ |
7 |
| 6.5 - 7.49分 |
A+ |
6 |
| 5.5 - 6.49分 |
A |
5 |
| 4.5 - 5.49分 |
B |
4 |
| 3.5 - 4.49分 |
C |
3 |
| 2.5 - 3.49分 |
D |
2 |
| 2.5分以下 |
E |
1 |
|
|
表7:幼稚園/國際學校組別校風得分標準計算表
| 校風指數得分 |
校風等級 |
校風等級得分 |
| 7.5分以上 |
A++ 校風非常好 |
7 |
| 6.5 - 7.49分 |
A+ 校風很好 |
6 |
| 5.5 - 6.49分 |
A 校風好 |
5 |
| 4.5 - 5.49分 |
B 校風良好 |
4 |
| 3.5 - 4.49分 |
C 校風一般 |
3 |
| 2.5 - 3.49分 |
D 校風差 |
2 |
| 2.5分以下 |
E 校風非常差 |
1 |
|
|
學業成績及課外活動表現如何計算?
學業成績:中學學業成績來自應屆和上五屆D S E文憑試成績、過去5屆高考平均成績和過去5屆會
考平均成績。應屆D S E文憑試成績包括J U P A S入大學率、每年考入三大(港大/中大/科大)的學生人數
及百分比、5**、5*、5級或以上優異率、4級或以上優良率及人均優良成績、33222大學入學標準百分
率、3級和2級或以上合格率,過去五屆高考平均成績包括入讀本港大學率、人均優良成績、中英文合
格率及整體合格率,過去5屆會考平均成績包括過去5屆6科14分百分比、各科平均優良率、人均優良率
和拔尖人數,應屆I B課程成績(分別獲得I B45分/40分/35分以上的學生人數及百分比),每年考入世
界排名前10/20/30/50/100大學的學生人數及百分比,如上所敘述的三級教育指標構成此評比體系的學
業成績指標(二級教育指標)。
小學學業成績由升讀band 1中學學生人數及比率、band 2中學學生人數及比率、band 3中學學生人數
及比率共六項三級教育指標所構成。雖然沒有公開考試成績作參考,但針對學校公開所升讀的具體b a n d
1、band 2 & band 3中學的學生人數和比率,我們同樣可以計算出該校的band 1、band 2 & band 3各組
別的學生比率及人數,進而根據各權重計算出該校的學業成績。如該小學是直屬小學,我們將參考其直
屬中學的中學中一入學前香港學科測驗成績來判定該直屬小學的學生學術水平,再綜合其直屬中學的排
名計算出該直屬小學的學業成績。
幼稚園學業成績計算方式同理小學學業成績計算方式,以升小結果為衡量標準。越多學生派去band 1
小學,得分越高。
課外活動表現:課外活動表現是根據各學校在其該年週年校務報告中所列出參與校外地區/全港/
全國/國際性比賽所獲得的名次並乘以相關的權重計算出得分。全國/國際性比賽冠/亞/季軍或前三名
為9/8/7分,全港性質前三名為6/5/4分,地區性質前三名為3/2/1分。最後根據各組別該年最高分除以
6,平均分為6個級別,並對應該校得分算出其所在級別,6分為最高級別,1分為最低級別,其級別得
分乃該校該年的課外活動表現得分。
● 評比指標資料的收集與處理
對於評價指標體系中指標資料的收集,我們主要通過各學校發展計畫、週年報告、教育局視學報告
及校外評核報告得到,各媒體網站論壇提供的資料僅供參考。本出版社針對此活動進行的全港問卷調
查結果主要是作為相互引證的監測資料。
因香港學校每年度的年度週年報告資料一般在下一年度11月份前後才陸續正式公佈,故該年度學校
教育競爭力水準是由前一年度成績資料計算標定的。
可喜可賀的是,在此次評比的學校,占85%的學校的相關數據來自各學校發展計畫、週年報告、教
育局視學報告、校外評核報告,這些資料基本都具有可信度,給我們的評選工作帶來了很大的便利。
此外,我們解說一下其餘15%未公開透露數據的學校的相關評選數據處理方法。
由於資料來源不同,指標資料口徑往往存在不一致性。在學校教育競爭力的比較中,我們力爭做到
所有學校資料口徑盡可能可比。我們因此設計了相應的資料處理方法:
第一、如果能夠獲得與學校公佈的資料口徑一致的統計資料,則直接引用。
第二、如果能夠獲得相關的統計資料,但與學校口徑不一致,則以學校發佈的資料口徑為基準進行調整。
第三、如果無法獲得相關的統計資料,則根據指標內容,採用過去幾年的相關資料作相關的統計分
析來計算。
第四、如果無法獲得相關的統計資料,我們將按照學校官方網站提供的其他數據資料並結合本出版
社針對此活動收集回來的問卷調查結果,再加上各媒體網站論壇提供的資料,綜合一起進行指標值的
無量綱化處理。由於我們得到的資料來自于各方面,其歸類后可分為正指標(指標值越大越好)、逆
指標(指標值越大越不好)和適度指標(指標值過大或過小都不好)。故此,在這裡無法用簡單的直
線型線性回歸(linear regression)無量綱化處理,線性回歸只適宜處理正指標,我們需要用曲綫型
無量綱化方法如下計算公式(2)來計算,並再對其相關的逆指標和適度指標進行處理,把其轉化為正
指標,然后再無量綱化。
逆指標(記為x,其n個樣本值為xi,……x n)轉換為正指標,可選用的變換是(x'表示轉換后的指
標):
對i=1,2,3……n,取xi'=1/xi
對適度指標值xi,……xn,假定最合適的值是a,離a偏差越大越不好,變換后的值為xi':
● 評比數據資料的處理方式
我們首先將被監測學校的每一指標進行標準化處理,指標的原始資料經過標準化處理後稱為指標標
準值。各指標標準值與指標權重相乘後可以直接相加,從而得出子因素或因素的標準值。因素的標準
值與因素的權重相乘後直接相加得到教育競爭力標準值。資料的標準化處理按以下步驟進行:
(一)定性指標的量化
本報告涉及的63項評價指標中,多數可以直接以指標的數值作為測度值,但定性指標需要採用某種
方法進行量化,還有一些評價要素由多個定性或定量指標按照一定計算模型進行組合計算才能得出量
化測度值。為避免主觀判斷所引起的失誤,增加定性指標的準確性,可採用語義差別隸屬賦值方法,
將定性指標分成1~7個檔次(非常好、很好、好、良好、一般、差、非常差)並對每個檔次內容所反應
指標的趨向程度提出明確、具體的要求,建立各檔次與隸屬度之間的對應關係。每檔根據指標內容的
趨向程度對應指標評價值7~1分不等:即第一檔(非常好)對應指標評價值為7分;第二檔(很好)為6
分;第三檔(好)為5分;第四檔(良好)為4分;第五檔(一般)為3分;第六檔(差)為2分;第七檔(非常
差)為1分。具體測度方法包括:
方法一:根據學校校風的好差程度分別給予不同的分值進行量化,學校感受“非常好、很好、好、
良好、一般、差、非常差”分別用“7、6、5、4、3、2、1”來表示,樣本學校平均得分即為該項指標
測度值。
方法二:根據學校感受的競爭壓力程度分別給予分值進行量化,學校感受“很強、強、不強、沒
有”分別用“4、3、2、1”表示,樣本學校平均得分即為該項指標測度值。
方法三:根據學校“是、否”獲得(或擁有)某項資源,分別賦予“1、0”值進行量化,學校樣本
分值之和除以樣本總數為該項指標測度值。
方法四:對於涉及學校管理等方面的指標,根據管理者對某項策略或觀點的“選擇、不選擇”分別
賦予“1、0”值進行量化,學校樣本分值之和除以樣本總數為該項指標測度值。
方法五:對於一些指標分解出多個評價子要素,根據具體指標特點對多個定性或定量評價子要素按
照一定的計算模型組合計算得到量化測量值。
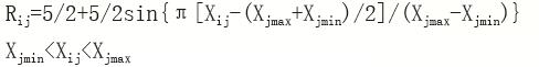
(二)定量指標的無量綱化處理
按照對評價事項作用方向的不同,定量指標可分為正指標(要求數值越大越好)、逆指標(要求數值
越小越好)和適度指標(要求以適中為好)。本項評比中所用到的絕大部分是正指標(C241/C242/C251/C262/
C323/C331/C332/C334/C336/C377/C341/C353)。對此,可以採用模糊數學中的隸屬賦值方法,給出正指標與適度
指標的無量綱化處理公式。公式中以定量指標所適用的評分制中的最大值、最小值和平均值為標準,
進行無量綱化處理。
將定量指標原值轉換成指標平均值,其對應的模型分別是:
1.正指標數模糊量化模型
2.適度指標類模糊量化模型:
式中 Rij ——教育競爭力第i評價要素第j項定量指標的評價值;
Xij ——教育競爭力第i評價要素第j項定量指標的原值;
Xjmax——第j項定量指標所用的評分制中的最大值;
Xjmin-—第j項定量指標所用的評分制中的最小值;
Xjave——第j項定量指標所用的評分制中的平均值。
按照上述公式處理,得出定量指標值在0~5分之間,當Rij<l時,取Rij=1;當1≤Rij≤5時,取其實
際值。這樣,處理後體系中各指標評價值便成為同度量指標,各項指標之間也達到了均衡與協調。
(三)用判斷矩陣確定評價指標的權數
學校教育競爭力評價體系中每個指標的重要程度是不同的,其遞階層次結構建立以後,上下層元素
之間的隸屬關係就確定了。我們運用層次分析法(A H P)對每一層元素的相互之間的重要性給出判斷,即確定每一
層元素的相對權重。方法如下:

1、建立兩兩相對比較判斷矩陣
對於兩個指標間對目標貢獻的重要程度可採用兩兩比較法。相等的取5/5;相對較強的取6/4;相
對強的取7/3;相對很強的取8/2;絕對強的取9/1;其餘介於兩者之間的分別對應取5.5/4.5;6.5
/3.5;7.5/2.5;8.5/1.5等。經過上述標度作為矩陣的元素,列出各層面需要比較的指標的判斷矩
陣,如對於某一層中需要比較的指標構成的判斷矩陣:求出上述該判斷矩陣的特徵向量,獲得最大特
徵根λmax,以及相應的正規化特徵向量,即得到了各指標在各自層面的權數(即層次單排序)。
2、層次總排序
每一層次元素對總目標(教育競爭力)的權數(即層次總排序)是相對權數,可通過下列步驟求得。
設第K-1層有m個元素C1,C2,……Cm對任一元素Ci,其對應的第K層元素的相對權數為:

又知上一層m個元素的指數的組合權數為:

這樣就可求出每一層次所有元素對總目標的權數:

式中h——整個系統的層;

(四)計算教育競爭力的綜合評價值
根據上述定性指標的量化、定量指標無量綱化處理和層次排序權數確定的方法,最終可以得出關於一個學校綜合評價值的計算公式:
C=ΣRijAij
式中 C——學校教育競爭力的綜合評價值;
Rij——教育競爭力第i項要素第j項指標價值;
Aij——教育競爭力第i項要素第j項指標對總目標的權數。
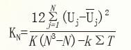
(五)評價結果有效性分析
得到教育競爭力評價的量化結果之後,運用非參數統計方法,對評價結果進行有效性分析。即運用Kendall核對總和秩次雙向方差檢驗判別一致性問題,從專家評價與自我評價結果的一致性程度來檢驗
其有效性。
1、Kendall和諧係數:

式中K--評價層次數(一般對學校教育競爭力評價採取專家評價與自我評價相結合的方式進行,則
K=2):
N——被評價對象個數:
Uj——和,即每一被評價事項所得等級之和(j=l,…,N)

T——某評價層中評價分數相同的個數。
2、進行顯著性檢驗:
計算:
KN=K(N- 1)KN
若KN≥x2(N-1),則可認為評價結果一致,否則,即為結果不一致。這樣就可以分析對每個學校教育競爭力評價結果的合理性和一致性,從而檢驗了結果的有效性。
從上述基於不同要素的教育競爭力分析的系統框架下,我們綜合運用層次分析法(A H P)、模糊綜合
評判、非參數統計等方法對學校教育競爭力的評價進行了初步的探討,提出了評價教育競爭力的F I P O
模式,從教育投入、教育過程、教育成效三方面對教育競爭力進行了從潛在能力到動態過程再到競爭效果的全方位評價,能夠比較全面地反映評價事項的競爭力狀況。然後,在前面系統分析的基礎上,
給出了比較全面的教育競爭力評價指標體系以及完整的評價方法,並且運用了非參數統計方法,從專家評價和內部評價的一致性出發,檢驗了評價結果的有效性。